急性髓系白血病(AML)-NCCN指南(2024年第一版)已公布,较之于2023年第6版的内容进行了较大的修订,在治疗方面,针对AML强化诱导治疗、基于阿糖胞苷诱导后的随访和再诱导治疗、巩固治疗和维持治疗等方面进行了较大程度的更新。为此,《肿瘤瞭望-血液时讯》特概括了指南更新的内容,供读者参考
诱导治疗迎来较大修改,基于风险分层的诱导方案更为具体及个体化
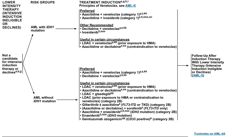
新版NCCN指南在AML的强化诱导、基于阿糖胞苷诱导治疗后的随访及再诱导、低强度诱导、巩固及维持治疗等方面作出了较大的变动。
强化诱导治疗
在2024年第一版的NCCN指南中,对于符合强化诱导治疗的AML患者进行了更为细化的风险分层,由此也更新了中低风险AML的诱导治疗方案。
中低风险AML: 分为细胞遗传学低风险AML(CBF-AML)、伴有分子突变的低风险AML(NPM1突变/FLT3野生型AML、bZIP in-frame CEBPA突变AML)或中风险AML、伴有FLT3突变AML。
高风险AML: 分为除CBF-AML外的治疗相关性AML、前驱MDS/慢性粒单核细胞白血病(CMML)、细胞遗传学变化与MDS一致(AML伴骨髓增生异常相关改变[AML-MRC]);无TP53突变或del17p异常的高风险AML;伴有TP53突变或del17p异常的高风险AML。
注释修订及变化
1. 注释q新增:氟达拉滨缺乏时,克拉屈滨可替代。
2. 注释r修改:根据年龄和肾功能考虑调整阿糖胞苷的剂量。由于神经毒性的原因,年龄≥60岁和肾功能衰竭的患者应慎用≥2 g/m2的阿糖胞苷。
3. 注释t新增:gemtuzumab ozogamicin可能对NPM1突变AML有益。gemtuzumab ozogamicin在CEBPA突变AML中的作用尚未确定。
4. 注释修改:RATIFY试验研究了18~60岁的FLT3-ITD突变AML患者。数据外推表明,适合接受7+3方案治疗的61~70岁FLT3-ITD突变AML患者应给予米哚妥林,因为其可能提供生存获益且没有较大毒性。
5. 注释修改:支持在<60岁患者中使用该方案的数据有限。对于既往低甲基化药物(HMA)暴露的AML-MRC患者,接受标准诱导治疗与CPX-351/阿糖胞苷和柔红霉素双药脂质体治疗的获益没有差异。在最初的试验中AML-MRC可使用CPX-351/阿糖胞苷和柔红霉素双药脂质体,虽然未研究其突变定义,仍可以考虑使用该方案。
6. 注释aa修改:在临床试验之外,使用≥2 g/m2阿糖胞苷进行诱导治疗仍存在争议。虽然100~200 mg/m2的阿糖胞苷和≥2 g/m2阿糖胞苷剂量的缓解率相同,但有两项研究表明,大剂量治疗1个周期后,骨髓原始细胞清除更快。
7. 注释删除:①阿糖胞苷的剂量应根据年龄和肾功能不全情况进行调整; ②包含gemtuzumab ozogamicin在内的方案在高风险患者中的获益有限。
阿糖胞苷为基础诱导治疗后的随访和再诱导治疗
患者开始治疗后的第14~21天骨髓穿刺活检随访分为残留病灶和增生减低,并对方案进行调整。针对基于阿糖胞苷诱导后的随访和再诱导治疗,新版指南也给出了相关建议。首先在治疗开始后14~21天进行随访,具体为骨髓抽吸和活检。对于增生减低的AML患者,指南建议予以患者一定时间,等待恢复。
注释修订及变化
1. 注释cc新增:当使用以阿糖胞苷为基础的诱导方案,阿糖胞苷剂量为100~200 mg/m2时,考虑延迟骨髓穿刺活检时间至d21。
2. 注释ff修改:对于再诱导治疗,没有数据可以证明阿糖胞苷1~2 g/m2相比于≥2 g/m2中剂量或大剂量的优效性。
低强度诱导治疗
不适合强化诱导治疗或疗效较低AML:分为伴IDH1突变AML和不伴IDH1突变AML。这部分患者应进行低强度诱导治疗。
注释修订及变化
1. 修订注释oo:删除“对于伴有TP53突变的AML患者,可以考虑10天疗程的地西他滨”的内容,修改为: 在HMA治疗的前3~4个周期,缓解可能不明显。如果患者可耐受治疗,则继续HMA治疗直至进展。在临床试验中,新药也可能出现类似的缓解延迟,但研究终点将由方案确定。
2. 新增注释jj:对于拒绝诱导化疗和/或靶向治疗的患者,最佳支持治疗可能包括羟基脲和/或输血支持。
巩固治疗
巩固治疗:伴FLT3突变AML和中风险AML分层治疗方案做出了较大的调整。
注释修订及变化
1. 修订注释tt:已有阿糖胞苷替代剂量用于缓解后治疗的报道(讨论部分)。由于神经毒性,年龄≥60岁和肾功能衰竭的患者应慎用≥2 g/m2的阿糖胞苷。
2. 修订注释ww:在寻找供体的过程中,患者可能需要至少1个周期的以阿糖胞苷为基础的巩固治疗以维持缓解。如果找到供者,患者达到缓解后可直接进行移植。
3 修订注释xx:在伴有中危细胞遗传学的AML患者中,没有证据表明阿糖胞苷剂量≥2 g/m2优于剂量1~2 g/m2。
4. 新增注释yy:异基因造血干细胞移植推荐用于预后良好的患者,这些患者无法完成巩固治疗或有高危风险特征,如MRD阳性或伴有KIT突变。
5. 删除:也可使用中剂量阿糖胞苷交替给药
维持治疗
在维持治疗阶段,新版指南对风险分层进行了调整,治疗适用的人群由“中度或不良风险的患者(CBF-AML除外)”修订为“非CBF AML型患者”,并将“使用HMA进行维持治疗,直至疾病进展或出现不可接受的毒性反应,方案推荐下的地西他滨的推荐级别从2B类升级为2A类。
注释修订及变化
1. 修订注释zz:该方案并非要取代巩固化疗。此外,AML患者可能在首次获得完全缓解后从造血干细胞移植中获益,并且没有数据提示口服阿扎胞苷维持治疗可替代造血干细胞移植。
参考文献:NCCN Clinical Practice Guidelines in Oncology (NCCN Guidelines®)Acute Myeloid Leukemia. Version 1.2024.