EBMT中国之声丨叶逸山医生:核心结合因子AML患者CR2期的半相合、同胞全合和无关全合异基因造血干细胞移植的比较研究

血液时讯 发表时间:2025/2/24 15:32:18

编者按:异基因造血干细胞移植(allo-HSCT)是多种血液系统良恶性疾病的关键诊疗手段,近年来随着单倍体造血干细胞移植技术的不断进步,其在异基因移植中的比例不断上升。2024年4月14日至17日,第50届欧洲血液和骨髓移植学会(EBMT)年会在英国格拉斯哥隆重举行。会议聚焦干细胞移植和细胞疗法的最新进展,推动着血液病患者向着更好的临床预后迈进。本届EBMT年会,浙江大学医学院附属第一医院黄河教授团队入选了1项特邀报告、5项口头报告和15项壁报。《肿瘤瞭望-血液时讯》特邀请浙江大学医学院附属第一医院叶逸山医生就其口头报告的单倍体相合allo-HSCT相比亲缘/非亲缘全合移植可能预后结局更好的相关研究结果和进展与我们分享。

 

叶逸山医生汇报的这项研究名为“核心结合因子(CBF)急性髓系白血病(AML)患者第二次完全缓解(CR2期)的半相合、同胞全合和无关全合allo-HSCT的比较研究:来自欧洲血液与骨髓移植学会全球委员会和急性白血病工作组”,是浙江大学医学院附属第一医院与EBMT合作的一项研究,试图通过EBMT数据库对2010-2022年纳入的全球227家中心接受异基因移植的865例患者进行分析,主要比较了单倍体相合供者(HAPLO)、亲缘全相合供者(MSD)或非亲缘相合供者(MUD)进行造血干细胞移植的疗效。其中接受MSD的AML患者有329例、接受MUD的AML患者有374例、接受HAPLO移植方案的AML患者有162例。

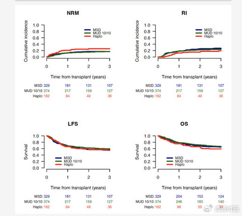
本研究的单变量分析显示,HAPLO组与较低的移植后2年累积复发率(RI)及较高的2年非复发死亡率(NRM)相关,180天II-IV级急性移植物抗宿主病(GVHD)累积发生率也高于MSD或MUD组。在2年无白血病生存期(LFS)、总生存期(OS)和无GVHD/无复发生存期(GRFS)方面,三个队列之间未观察到明显差异。此外,与t(8;21)相比,携带inv(16)的CBF-AML患者复发率(RI)更低,并且与更好的OS、LFS和GRFS相关。
多变量分析显示,HAPLO、MSD和MUD三组在NRM方面无明显差异。与MSD和MUD相比,HAPLO与较低的RI相关,而在LFS、OS和GRFS方面,3组之间没有显著差异。与inv(16)CBF-AML相比,t(8;21)CBF-AML与更高的RI和更高的NRM相关,这会导致更差的LFS、OS和GRFS。

图片图. MSD、MUD、HAPLO三组移植后的临床结局

 

研究结果发现单倍体allo-HSCT患者的复发率更低,虽然非复发死亡率相对偏高,导致三组之间的差异并不显著。叶医生表示,“随着对移植并发症管理的不断进步,移植技术不断取得进展,单倍体allo-HSCT有可能成为高危AML患者最优的供者选择。我们将在这项研究的基础上继续展开调查,将造血干细胞移植的供者选择完善地更加精确,以造福更多患者。”

图片

专家简介

叶逸山

浙江大学医学院附属第一医院特聘副研究员浙江大学硕士研究生导师EBMT中国办公室研究协调员浙江省免疫学会血液免疫专业委员会秘书浙江省医学会血液学分会青年委员法国索邦大学医学/科学博士 导师:Mohamad MohtyCell Discovery, Journal of Hematology & Oncology,American Journal of Hematology等杂志以第一作者/通讯作者发表SCI论文10余篇,参与发表30余篇;Bone Marrow Transplantation等杂志特约审稿人主持国家自然科学基金青年基金1项,主参/参与国家自然科学基金重点项目等国家级课题9项美国血液学年会(ASH)口头报告×3,EBMT口头报告数次EBMT2023,2024最佳口头摘要奖,ASH摘要成就奖

版面编辑:张冉   责任编辑:付丽云
本内容仅供医学专业人士参考
相关搜索:  干细胞移植

发表评论

提交评论
  • 相关推荐
  • 学术领域