EBMT中国之声丨孙瑞娟教授:儿童T-ALL CD7-CAR-T后与化疗后达到CR桥接Allo-HSCT的有效性及安全性对比

血液时讯 发表时间:2025/2/19 16:40:46

编者按:2024年4月14日至17日,第50届欧洲血液和骨髓移植学会(EBMT)年会在英国格拉斯哥隆重举行。会议聚焦干细胞移植和细胞疗法的最新进展,推动着血液病及血液肿瘤患者向着更好的临床预后迈进。在本届大会上,我国学者河北燕达陆道培医院孙瑞娟教授团队的一项研究被大会收录进行壁报交流,研究揭示了采用CD7-CAR-T细胞治疗桥接干细胞移植与与同期接受化疗达到缓解后桥接移植在治疗儿童急性T细胞淋巴细胞白血病中具有相似的有效性及安全性。本刊特邀请孙瑞娟教授第一时间与广大同道分享该项研究成果及其临床意义。
 

 

研究背景

 

异基因造血干细胞移植(Allo-HSCT)是治愈儿童高危淋巴细胞白血病的一种方法。T细胞急性淋巴细胞白血病(T-ALL)首次复发后,依靠化疗达到长期生存的概率约15%。本项研究旨在比较CD7-CAR-T细胞治疗作为新的治疗方法桥接移植与同期接受化疗达到缓解后桥接移植之间,二者在长期生存率(OS)、急性移植物抗宿主病(aGVHD)发生率、巨细胞病毒(CMV)和EB病毒(EBV)感染率等方面等差异。

 

研究方法

 

回顾性分析了2010年10月至2023年6月在河北燕达陆道培医院接受Allo-HSCT的90例年龄小于等于14岁的T-ALL患儿。其中移植前接受CD7-CAR-T细胞治疗后达到血液学缓解(CR)的有28例,依靠化疗达到CR的有62例。中位年龄9(1-14)岁。男女比是68:22。

 

59例为移植前首次达到血液学缓解(CR1)。其中CAR-T组14例,化疗组45例。31例患者移植前至少血液学复发过1次,经过治疗再次达到血液学缓解(≥CR2)。其中CAR-T组14例,化疗组17例。

 

从供者来源上分析:采用同胞相合供者7例,无关非血缘供者10例,半相同73例。76例患儿接受了以TBI/CY/ATG为主的预处理化疗,14例接受了以BU/CY/ATG为主的预处理化疗。GVHD的预防均采用的环孢素或他克莫司联合吗替麦考酚酯及短疗程的甲氨蝶呤。

 

研究结果

 

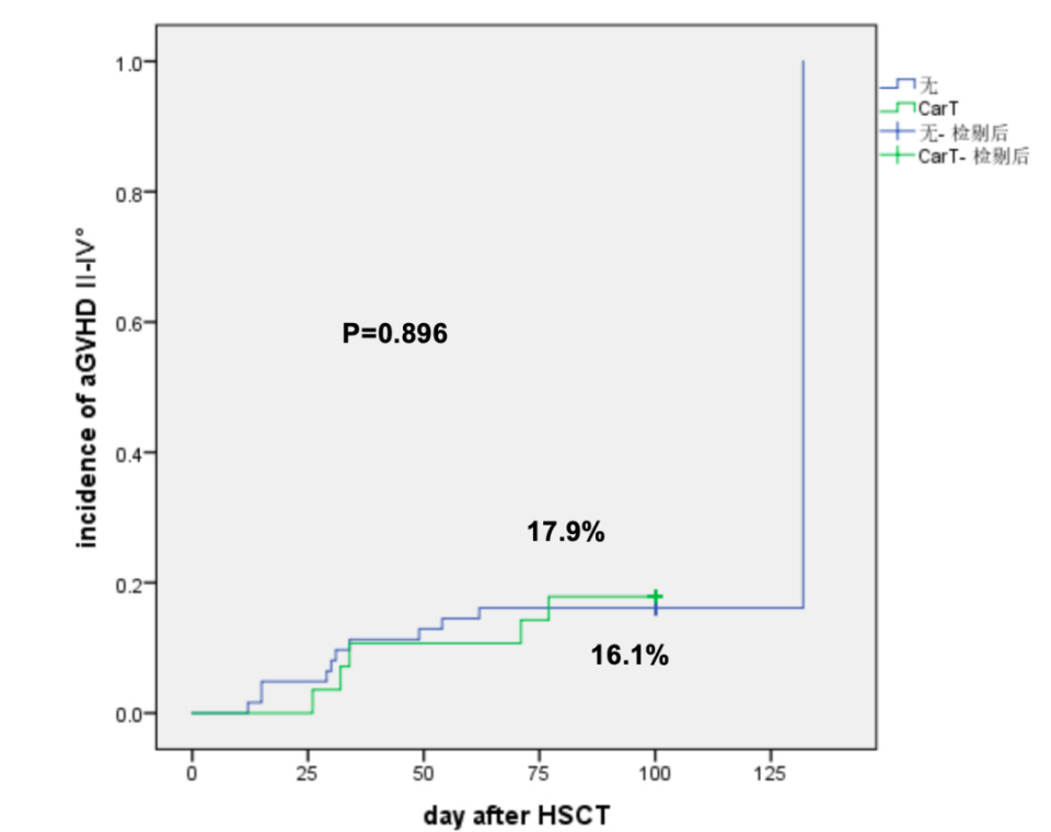
中位随访16(1-37)个月,90例患儿的干细胞均成功植入且为完全供者嵌合率状态。结果显示:移植后1年内两组的复发率相似,CAR-T组3.8%,化疗组5.2%(P=0.846) ;长期生存率CAR-T组81.5%,化疗组86.7%(P=0.572,见图1);两组Ⅱ-Ⅳ级aGVHD(17.9% vs.16.1%,P=0.896,见图2)与Ⅲ-Ⅳ级aGVHD(7.6% vs.13.3%,P=0.421,见图3)的发生率均无统计学差异。
 

图1. 两组长期生存率比较

图2. 两组Ⅱ-Ⅳ级aGVHD发生率比较

图3、两组Ⅲ-Ⅳ级aGVHD发生率比较


分析显示:CMV及EBV血症发生率在两组中亦未见显著性差异(CMV:26.4% vs.39%,P=0.285;EBV:7.4% vs.12.9%,P=0.461)。


研究结论

 

在该项单中心数据分析中,儿童T-ALL移植前接受CD7-CAR-T细胞治疗是安全且有效的。CD7-CAR-T细胞治疗后桥接Allo-HSCT并没有增加GVHD的发生率及CMV、EBV血症的发生率。

 

研究者说

 

细胞及靶向治疗可以改善T-ALL患儿的生存预后。CD7-CAR-T细胞治疗后桥接Allo-HSCT改善难治/复发的T-ALL患儿的OS。经CAR-T细胞治疗的Allo-HSCT组发生aGVHD与同期非CAR-T治疗组无显著差异。移植后在CMV/EBV血症的发生率上无显著差异。因此,我们建议高危T-ALL患儿尽可能在CR状态下行Allo-HSCT。

 

孙瑞娟教授在EBMT 2024现场

 

专家简介

孙瑞娟

中国医师协会血液科医师分会组织细胞疾病专业委员会委员

中国妇幼保健协会脐带血应用委员会委员

河北省廊坊市抗癌协会委员

从事造血干细胞移植临床工作20年余。成功完成异基因造血干细胞移植千余例。患者年龄跨度7个月至69岁。对各类良恶性血液肿瘤,急慢性GVHD、重症感染、移植后各种合并症治疗,尤其对于应用免疫疗法防治移植后复发经验丰富。成功参与完成国内首例自体脐带血治疗儿童重型再生障碍性贫血。成功参与完成国内首例XIAP相关噬血细胞综合征的移植。成功完成多例先天性角化不良征的干细胞移植。多次在APBMT、EBMT、TCT等国际骨髓移植会议上进行经验交流。

版面编辑:张冉   责任编辑:付丽云
本内容仅供医学专业人士参考
相关搜索:  干细胞移植

发表评论

提交评论
  • 相关推荐
  • 学术领域