付凯教授:谈北美套细胞淋巴瘤项目(NAMCLP)的研究进展和新型预后模型丨第五届淋巴瘤&骨髓瘤免疫与靶向治疗大会

血液时讯 发表时间:2024/8/7 19:37:48

2024年7月20日,第五届淋巴瘤&骨髓瘤免疫与靶向治疗大会暨高博医学学术会议在北京顺利召开。大会以“精准、整合、创新”为核心理念,内容紧密追踪29届欧洲血液学协会年会(EHA 2024)和2024年美国临床肿瘤学会(ASCO)年会的最新进展和前沿议题。在本次大会上,罗斯威尔公园综合癌症中心付凯教授围绕“Progress Reports From Northern American MCL Consortium”的话题进行了精彩分享,《肿瘤瞭望-血液时讯》特邀采访了付凯教授,讲解了北美套细胞淋巴瘤项目的相关研究进展以及新型MCL预后模型的指导意义,现整理如下。

 

《肿瘤瞭望-血液时讯》:请您介绍一下北美套细胞淋巴瘤项目的最新进展?

 

付凯教授:近年来,北美套细胞淋巴瘤联盟开展了诸多的临床研究工作,也取得了较多的进展。我们团队参与了套细胞淋巴瘤联盟的相关研究项目,共搜集了800~900例套细胞淋巴瘤(MCL)患者的诊治数据,通过比较发现,在过去10~20年内MCL患者的中位总生存(mOS)获得了显著的改善。套细胞淋巴瘤联盟的统计数据表明,2004年期间MCL患者的3~5年生存率大约为30%~50%,mOS通常为3年。而2010~2012年之后的生存数据表明MCL患者的生存得到显著改善,北美套细胞淋巴瘤项目(NAMCLP)开展的一项纳入586例MCL患者的研究显示,MCL患者的5年生存率达到了64%,mOS为7~8年,3年的无进展生存(PFS)率也达到了52%。其中年轻MCL(<65岁)较之于老年患者(≥65岁)有明显的生存优势,5年OS分别为78% vs 48%,3年PFS则分别为64% vs 38%。
 

 

MCL治疗的疗效在近年来显著改善,这主要得益于MCL发病机制、基础研究、免疫靶向治疗(例如CAR-T等)的不断挖掘和取得研究方面的突破,另外需要强调的是,造血干细胞移植(HSCT)的应用也极大地改善了MCL患者的OS和PFS。

 

总体而言,随着治疗手段的选择愈发增多,带来了疗效和预后的显著提升。相较之于欧美国家,国内目前在MCL的精准诊治方面仍存在一定的差距,需进一步规范化,但国内在CAR-T治疗的进展方面可谓令人惊叹,这是国外无法比拟的。

 

《肿瘤瞭望-血液时讯》:请您介绍一下北美套细胞淋巴瘤联盟近年来在MCL预后模型建立和治疗方面的重要进展?

 

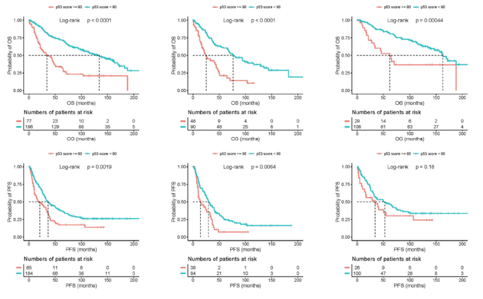
付凯教授:北美套细胞淋巴瘤联盟于2010年建立于内布拉斯加大学医学中心,是北美23个医学中心共同合作的项目,共搜集了约1000例MCL病例标本进行了一系列临床和病理方面的研究,在MCL的预后模型方面,已有的研究表明TP53突变对于MCL患者的OS和PFS有重要的影响,一项研究探讨了P53积分与MCL患者OS和PFS的关系,结果显示,P53积分≧90的患者,其OS和PFS明显更差。
 

 

基于前期开展的多项研究,我们团队提出了新的MCL预后评估的理念,根据TP53基因的表达情况建立了新型的预后模型(详见下图),这项研究在去年发表于Journal of Hematology & Oncology期刊上,今年我们团队开展了进一步的研究工作,对病例标本进行了全基因组的测序,结果发现TP53突变与缺失对于MCL预后具有非常重大的影响,TP53突变会进一步激发和增加B细胞受体(BCR)通路的信号传递,这对于BTK抑制剂(BTKi)治疗具有一定的抑制作用,因此在临床上遇到对于BTKi疗效不佳的MCL患者,应考虑是否存在TP53突变的情况。总体而言,我们团队的这项MCL预后研究具有以下价值:(1)建立了新型的MCL预后指数,即North American Mantle Cell Lymphoma Prognostic Index(NAMPI, 北美套细胞淋巴瘤联盟预后指标),该指标可用于MCL的临床管理。(2)该预后模型进一步证实了TP53突变的灭活对于MCL患者的临床疗效和预后具有重要影响。(3)通过二代基因测序,我们可将MCL分为7种亚型,其中C2亚型(TP53突变灭活)组表现为TP53表达降低、BCR信号通路明显激活,并且伴有NF-kB和DNA修复信号通路的上调,这对于MCL临床治疗和预后评估方面具有重要的指导意义。
 

NAMPI预后模型(低危、中危和高危患者的OS和PFS)

 

《肿瘤瞭望-血液时讯》您认为该预后模型是否适合中国的MCL患者预后评估?

 

付凯教授:北美套细胞淋巴瘤项目(NAMCLP)所纳入的MCL患者绝大部分为西方白种人,其中亚洲患者不足5%,因此该预后模型是否适用于中国MCL患者的预后评估尚需要进一步考察,但该预后模型的指导价值在本质上是相同的,即TP53突变的灭活对于MCL疗效和预后的影响。

版面编辑:张冉   责任编辑:崔沙沙
本内容仅供医学专业人士参考
相关搜索:  淋巴瘤

发表评论

提交评论
  • 相关推荐
  • 学术领域